IVIVR在劑型設計中的應用
在過去的十年里,病人對藥品順應性的需求不斷增加,因此對新技術的需求也一直在增長。
為滿足患者需求,可對固體劑型進行調整(如掩味制劑和分散片);設計液體、糖漿、顆粒劑和混懸液用于兒童患者;設計顆粒劑和分散片用于吞咽困難的老年患者。
劑型設計過程中如何證明改劑型品種的安全性和有效性,確定體外和體內目標,是我們普遍面臨的問題。
我公司成功將某頭孢品種由膠囊劑改為分散片。下面我們以此為例,詳細介紹IVIVR在劑型設計中的應用。
對改劑型品種評估過程為:
①收集不同劑型的處方組成、不同介質中溶出曲線、藥代動力學;
②建立體內外相關性;
③預測不同劑型的體內行為,判斷更改劑型風險;
④控制具有關鍵區分力溶出行為,確定臨床試驗的必要性。
二、案例介紹
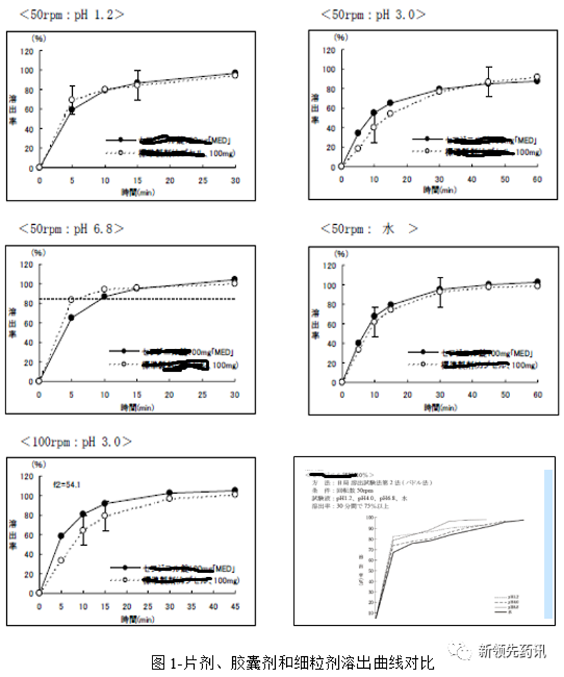
某頭孢為第三代頭孢菌素,抗菌譜廣,用于治療多種敏感細菌導致的感染,特別適用于輕、中度感染。本品在美國上市,劑型為300mg膠囊和125mg/5ml混懸液。日本上市劑型為片劑、膠囊和細粒劑,規格為50mg和100mg。


述溶出曲線表明,片劑和膠囊劑溶出行為相似。但在pH3.0介質中,片劑的溶出行為較膠囊劑偏快,在pH6.8介質中,片劑、膠囊劑和細粒劑均為快速溶出。細粒劑在各個pH條件下,均有較快的溶出行為,與其處方組成設計有關。

結論:通過對比不同劑型體外溶出和體內行為,發現該品種盡管劑型、處方組成、體外行為不同,但具有相同的藥代動力學,即不同劑型間體外行為差異,未表現出體內的行為差異。例如,細粒劑體外溶出較快,但Cmax和AUC值相對于片劑和膠囊劑并不高。分析原因:原料藥為BCS IV類,滲透性較低,導致胃腸道吸收受限。
體內預測
利用Gastroplus建模,將本品的理化性質和體內行為聯系起來,對不同劑型進行模擬計算,保證改劑型的合理性和科學性,模型的預測值如下表。

片劑+膠囊劑
由不同劑型溶出曲線可知,各劑型在pH3.0介質中差異較大,具有明顯區分力,采用該介質溶出數據,預測吸收速率和程度。各劑型在pH3.0介質中溶出曲線如下表:

將不同劑型溶出曲線輸入軟件中,采用表3中原料藥的生化參數,并結合Gastroplus中的ACAT模型,預測膠囊和片劑體內吸收曲線,如下圖:

結論:由上述吸收曲線可知,采用pH3.0介質,預測體內吸收曲線,片劑和膠囊劑具有相同吸收曲線。
ADMET的預測數值,用于建模。可準確模擬肝臟、腎臟等高灌注器官的藥代動力學和酶表達的影響。

根據上述各組織酶和轉運蛋白的預測參數,設定藥代動力學參數。將文獻中PK數據進行提取,基于房室模型預測的藥代動力學,得到以下數據,如下表:

采用二房室模型進行建模,采用體外數據,利用卷積方法進行計算,預測體內藥代動力學。模擬12h的體內吸收代謝情況,如下圖:

結論:以上數據表明,模型預測該品種片劑Cmax、AUC、Tmax值與IF文獻值基本一致,證明開發的模型預測良好。
膠囊劑+細粒劑
同理,采用Gastroplus軟件,對膠囊劑和細粒劑不同的體外溶出行為,建模進行預測,結果如下:


結論:預測結果表明,盡管劑型不同、體外行為不同,但50mg規格膠囊劑和細粒劑藥代動力學(如Cmax、AUC)相似。細粒劑的Tmax值低于膠囊劑型,是由于細粒劑快速釋放的原因,但細粒劑的吸收速率和程度與膠囊劑無顯著性差異。文獻中也報道了兩劑型的Tmax不同,表明采用Gastroplus計算結果準確。
結果分析
上述研究提示,該頭孢在不影響安全性和有效性的情況下,可設計不同的劑型。片劑和細粒劑與已獲批的膠囊劑型具有生物等效性。模型結果表明,原料藥為BCS IV類,其吸收不受處方組成和體外溶出的影響,這也是本品種有多種劑型獲批的原因之一。
研究初期,通過對比日本上市的不同劑型,表明片劑、細粒劑、膠囊劑之間可能是生物等效的。細粒劑的處方組成設計與膠囊劑不同,其釋放速度更快。因此我們可以有把握地推測,分散片(快速體外行為)與膠囊劑具有生物等效性。
分散片系指在水中可迅速崩解均勻分散的片劑,由于劑型特點,處方設計和溶出曲線與膠囊劑設計不同。基于上述研究情況,表明較快的溶出曲線(細粒劑),不影響體內吸收,這也為本品種膠囊劑更改為分散片提供科學依據。
三、結語
評估改劑型項目的可行性,可利用模型模擬,將不同劑型進行橋接,建立體內/體外之間(IVIVR)關系,控制項目初期開發風險。處方開發過程中,確定具有體內外相關性介質,明確自制品開發藥學目標。對擬定用于BE試驗的自制品,進行體外評價,基于自制品體外數據,利用模型進行虛擬BE試驗,確定開展臨床試驗的必要性。針對改劑型品種,采用模型模擬進行計算意義深遠,能夠較早的預測改劑型風險,指導臨床開展,減小審評風險。
四、關于我們
北京新領先醫藥科技發展有限公司于2015年一致性評價開展前,成立了體內外橋接中心,致力于將體內行為與體外行為進行橋接,利用軟件建立體內外相關模型,明確藥學開發目標,預測BE成功率,縮短藥物研發時間,節約產品開發成本,為客戶每個項目順利申報提供保障。本平臺也針對客戶在BE試驗設計和結果所遇到的問題,提供技術支持,并提供合理、科學的指導方案。同時著重模型開發,擴大模型應用,為改良型新藥研發提供科學依據。
本平臺擁有或計劃擁有全球應用最廣泛的模型模擬軟件和藥動學分析軟件,包括DDDPlus、ADMET predictor、Gastroplus、DAS、PASS、Phoenix WinNonlin等多種軟件。
本平臺已對200余個項目進行了BE試驗預測和臨床結果解讀,其中150余個項目通過BE,一次性通過BE試驗率超過80%。此外,平臺完成客戶BE結果和臨床分析委托50余個,精準剖析客戶在BE過程中遇到的各種問題,并提供科學合理的指導方案。
體內外橋接平臺創始人為Hemanth Joshi先生,曾擔任世界排名前十通用名藥企Dr.Reddy‘s Laboratories、Sun Pharmaceuticals等公司的高級科學家,現任新領先首席科學家,擁有近20年的藥物制劑研發及臨床評價經驗,曾參與幾十個FDA、EMA注冊ANDA、505b(2)的研發工作,其豐富的工作經歷和卓越的工作能力,將新領先藥品研發技術推向國際先進水平。
轉載聲明:未經本網或本網權利人授權,不得轉載、摘編或利用其他方式使用上述作品。已經本網或本網權利人授權使用作品的,應在授權范圍內使用,并注明“來源:新領先醫藥科技”。

Hotline服務熱線:010-83057670
簡體中文

010-83057670
聯系地址:
技術市場部:
北京新領先
新領先藥訊
010-61006450
